• Hello, this board in now turned off and no new posting.
    Please REGISTER at Anabolic Steroid Forums, and become a member of our NEW community!
  • Check Out IronMag Labs® KSM-66 Max - Recovery and Anabolic Growth Complex

Animal study | Stronger evidence of anti-cancer effect of carrots

Arnold

Numero Uno
Staff member
Administrator
Joined
Nov 29, 2000
Messages
82,704
Reaction score
3,072
Points
113
Location
Las Vegas
Animal study | Stronger evidence of anti-cancer effect of carrots
Polyacetylenes are found in carrots, but also in vegetables such as parsnips and cellery. Polyacetylenes inhibit cancer in test tubes, we reported a week ago. According to an animal study, which researchers at the University of Southern Denmark published in Food & Function, polyacetylenes do the same in organisms. The Danes suspect that in a normal portion of carrots contain enough polyacetylenes to slow down colon cancer.
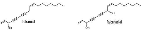
Falcarinol and falcarindiol
The main polyacetylenes in carrots are falcarinol and falcarindiol. The researchers extracted these substances from carrots and put them in the feed of rats. One gram of the rat's feed contained almost 7 micrograms of falcarinol and almost 7 micrograms of falcarindiol.

After eating the fortified feed for two weeks, the researchers injected the rats with the carcinogenic azoxymethane. The rats were then given enriched feed for another 17 weeks.
[FONT=&quot]
[/FONT]

falcarinol-falcarindiol-2.gif

[FONT=&quot]
[/FONT]

The researchers repeated the procedure with another group of rats. That group was fed without additives.
Results
After a total of 19 weeks, the Danes examined the intestines of the rats, looking at the aberrant crypt foci or ACFs. ACFs are possible precursors to colon polyps, and colon polyps are possible precursors to colon cancer tumors.

ACFs are often clustered together - and you guessed it, falcarinol and falcarindiol reduced the number of clusters and the number of small and large tumors.
[FONT=&quot]
[/FONT]

falcarinol-falcarindiol-colon-tumors.gif

[FONT=&quot]
[/FONT]

[TABLE="width: 358, align: right"]
[TR]
[TD="align: right"][/TD]
[/TR]
[/TABLE]
The amount of falcarinol and falcarindiol in carrots varies greatly between cultivars, but a 70-pound adult who consumes 260 grams of an average carrot cultivar daily consumes the equivalent of what the Danes gave to their mice.In the study we discussed last week, Austrian researchers found 5 times more polyacetylenes in parsnips than in carrots. That would mean that 60 grams of parsnips a day would be enough to slow down cancer.
Those polyacetyenes are becoming more and more interesting...
Conclusion
"The present study has demonstrated that dietary supplements of falcarinol and falcarindiol reduced the number of neoplastic lesions formed as well as the growth rate of the polyps suggesting a preventive effect of these polyacetylenes on the development of colorectal cancer in azoxymethane-induced rats," write the researchers.

"Furthermore, the amounts of polyacetylenes used in this preclinical trial can be achieved by a daily normal intake of carrots."
"It will also be obvious to investigate the possible mechanisms of action of falcarinol type polyacetylenes in preclinical and clinical trials, and in particular falcarinol and falcarindiol as they appear to be the most important dietary polyacetylenes based on the present and previous studies."
More coming soon.
Source:
Food Funct. 2017;8(3):964-74.
 
Back
Top