• Hello, this board in now turned off and no new posting.
    Please REGISTER at Anabolic Steroid Forums, and become a member of our NEW community!
  • Check Out IronMag Labs® KSM-66 Max - Recovery and Anabolic Growth Complex

Caffeine takes the sting out of physical exertion without carbohydrates

Arnold

Numero Uno
Staff member
Administrator
Joined
Nov 29, 2000
Messages
82,701
Reaction score
3,072
Points
113
Location
Las Vegas
Caffeine takes the sting out of physical exertion without carbohydrates
A small group of strength athletes and endurance athletes know firsthand that a low-carbohydrate diet can improve body composition with minimal loss of muscle mass. A disadvantage of this approach is that the switch to a low carb lifestyle takes time, and that during this period training becomes extremely heavy and tiring. A supplement that might help is good, old caffeine.

keto-diet-cycling.jpg


Study

[TABLE="width: 358, align: right"]
[TR]
[TD="align: right"][/TD]
[/TR]
[/TABLE]
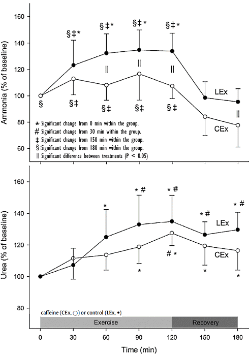
Eduardo Prado, a Brazilian researcher from the Federal University of Alagoas, got 14 cyclists aged 18-36 on two separate occasions to eat low-carbohydrate foods for three days. In this case, this meant that about 10 percent of the athletes' energy came from carbohydrates.On the third day of the ketogenic period, the subjects had to cycle for two hours at an intensity of 75-85 percent of their maximum heart rate.
On one occasion the subjects took a placebo an hour before they started cycling, on the other hand a supplement containing caffeine. The cyclists were given 5 milligrams of caffeine per kilogram of body weight.

ammonia-ureum-ureate-caffeine.gif


Results
During the session, the concentration of ammonia and urea in the cyclists' blood rose. Ammonia and urea are end products of the breakdown of proteins, causing fatigue. Caffeine supplementation, however, limited the increase.

This was especially the case for ammonia. Caffeine reduced the increase in ammonia by as much as a quarter.

caffeine-keto-diet.gif


Mechanism
At the start of the session, caffeine increased the concentration of glucose in the blood by 28 percent compared to the placebo condition. The concentration of lactic acid was even 80 percent higher after the administration of caffeine compared to the placebo condition.

The researchers suspect that caffeine increases the availability of glucose during exercise with a low carbohydrate intake. As a result, the muscles need to break down less proteins.
Source:
Nutrition. Nov-Dec 2021;91-92:111377.
 
Back
Top