• Hello, this board in now turned off and no new posting.
    Please REGISTER at Anabolic Steroid Forums, and become a member of our NEW community!
  • Check Out IronMag Labs® KSM-66 Max - Recovery and Anabolic Growth Complex

Do you want to live longer? Eat more fruits and vegetables

Arnold

Numero Uno
Staff member
Administrator
Joined
Nov 29, 2000
Messages
82,704
Reaction score
3,072
Points
113
Location
Las Vegas
Do you want to live longer? Eat more fruits and vegetables (without agro-industrial toxins)
If you want to live longer, increasing your intake of fruits and vegetables is one of the smartest things you can do. But then you have to be sure that they do not contain agro-industrial toxins such as heavy metals or pesticides...
Study

[TABLE="align: right"]
[TR]
[TD="align: center"]
basket-fruits-vegetables.jpg
[/TD]
[/TR]
[/TABLE]
Yuxuan Gu, a health scientist from Zhejiang University School of Medicine, used the data from 19,542 adults who participated in the China Health and Nutrition Survey.Gu was able to follow the study participants for an average of 14 years. During that period 1,409 study participants died.
On the basis of their intake of vegetables, fruits and vegetables and fruit together, Gu was able to divide the study participants into 5 groups of approximately equal size. Gu then determined the relationship between the risk of death and the risk of death.
Results
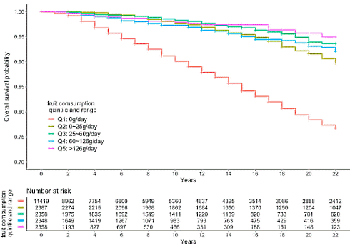
The optimal intake of vegetables in these studies was 327-408 grams per day. The optimal intake of fruit was more than 126 grams per day.

The first figure below relates to the intake of vegetables, the second to that of fruit, the third to the intake of fruit and vegetables together. Click on the figures for a larger version.
[FONT=&quot]
[/FONT]


[FONT=&quot]
[/FONT]


[FONT=&quot]
[/FONT]


[FONT=&quot]
[/FONT]

[TABLE="width: 358, align: right"]
[TR]
[TD="align: right"][/TD]
[/TR]
[/TABLE]
A high intake of vegetables therefore reduced the risk of death, but the highest intake protected a little less well than the second highest intake. Gu has not investigated how this is possible, but she does have a theory about it.Agro-industrial toxins
"The heavy metals in vegetables which often aggregate in the edible part is of growing concern in China due to the contaminated soils and irrigation water", she writes.

"Pesticide residue in vegetables is also a problem in China which was reported by Xu and her colleagues, showing that approximately 40% of collected samples tested positive for different kinds of pesticides and 6.1% exceeded the Chinese residue limits."
"Long term exposure to vegetables with heavy metals and pesticide residues is extremely hazardous to human health. High intake of vegetables increases the risk of exposure to these harmful substances which may counteract the benefits of vegetables."
This situation is not unique to China. Until the 1970s, the quality of fruits and vegetables in the West was probably not much better than in China today.
Source:
Int J Environ Res Public Health. 2021 Jan 5;18(1):342
 
Back
Top