How pumpkin may reduce muscle breakdown
Don't pin us down on this, but pumpkins may be even more interesting to athletes than we previously reported. An in vitro study that Polish biochemists published in Molecules suggests that substances in pumpkin can slow down the breakdown of proteins by aggressive molecules. If this also applies to muscle protein...
Study
Agata Rolnik, a biochemist from the University of Lodz, made extracts from the edible fruits of a number of Cucurbitaceae plants. Rolnik's cucumber and zucchini extracts were made from the whole fruit, including the seeds. The pumpkin and patisson extracts were made from the fruit without the seeds.
[FONT="]
[/FONT]
[FONT="]
[/FONT]
[TABLE="width: 358, align: right"]
[TR]
[TD="align: right"][/TD]
[/TR]
[/TABLE]
Then Rolnik put the extracts in human blood to which she had also added a mixture of hydrogen peroxide and iron ions. Hydrogen peroxide is a free radical, iron ions are catalysts of free radical action. Rolnik hoped the Cucurbitaceae extracts could reduce the harmful effects of the hydrogen peroxide-iron combination.Results
All extracts inhibited the increase of thiobarbituric acid reactive substances [TBARS] due to the combination of hydrogen peroxide and iron. TBARS are compounds that form when aggressive molecules attack the fatty acids in the membranes of cells and organelles.
It may seem like pumpkin extracts were a bit mot effective than the others, but according to some statistic caluculations thius was not the case. All extracts performed equally well.
The figures below have been reduced. Click on it for a larger version.


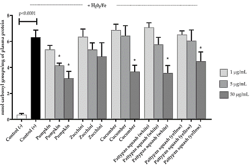
The figure above shows that most extracts also inhibit the increase in plasma protein carbonyls, whichs more or less equals burnt or oxidized protein. In this case, pumpkin extract performed best. At a concentration of 5 micrograms per milliliter, pumpkin worked better than the other extracts.
These findings are of interest to athletes. They suggest that a diet enriched with Cucurbitaceae - especially pumpkins - can protect muscle proteins from the aggressive molecules that are active during intense exercise or forced rest.
Conclusion
"The results revealed that these preparations have various bioactive compounds with antioxidant activities for use in the prophylaxis and treatment of diseases involving oxidative stress", the researchers summarize. "Although antioxidant properties were demonstrated in an in vitro model, the real effect of these extracts should be verified in an in vivo model."
Source:
Molecules. 2020 Sep 21;25(18):4326.
Don't pin us down on this, but pumpkins may be even more interesting to athletes than we previously reported. An in vitro study that Polish biochemists published in Molecules suggests that substances in pumpkin can slow down the breakdown of proteins by aggressive molecules. If this also applies to muscle protein...
Study
Agata Rolnik, a biochemist from the University of Lodz, made extracts from the edible fruits of a number of Cucurbitaceae plants. Rolnik's cucumber and zucchini extracts were made from the whole fruit, including the seeds. The pumpkin and patisson extracts were made from the fruit without the seeds.
[FONT="]
[/FONT]

[FONT="]
[/FONT]
[TABLE="width: 358, align: right"]
[TR]
[TD="align: right"][/TD]
[/TR]
[/TABLE]
Then Rolnik put the extracts in human blood to which she had also added a mixture of hydrogen peroxide and iron ions. Hydrogen peroxide is a free radical, iron ions are catalysts of free radical action. Rolnik hoped the Cucurbitaceae extracts could reduce the harmful effects of the hydrogen peroxide-iron combination.Results
All extracts inhibited the increase of thiobarbituric acid reactive substances [TBARS] due to the combination of hydrogen peroxide and iron. TBARS are compounds that form when aggressive molecules attack the fatty acids in the membranes of cells and organelles.
It may seem like pumpkin extracts were a bit mot effective than the others, but according to some statistic caluculations thius was not the case. All extracts performed equally well.
The figures below have been reduced. Click on it for a larger version.


The figure above shows that most extracts also inhibit the increase in plasma protein carbonyls, whichs more or less equals burnt or oxidized protein. In this case, pumpkin extract performed best. At a concentration of 5 micrograms per milliliter, pumpkin worked better than the other extracts.
These findings are of interest to athletes. They suggest that a diet enriched with Cucurbitaceae - especially pumpkins - can protect muscle proteins from the aggressive molecules that are active during intense exercise or forced rest.
Conclusion
"The results revealed that these preparations have various bioactive compounds with antioxidant activities for use in the prophylaxis and treatment of diseases involving oxidative stress", the researchers summarize. "Although antioxidant properties were demonstrated in an in vitro model, the real effect of these extracts should be verified in an in vivo model."
Source:
Molecules. 2020 Sep 21;25(18):4326.