Which exercise is better The pull-up or the pull-down?
Strength athletes who want to develop their lat muscles in their upper back can benefit from the pull-up just as much as the pull-down. But if they also want to train their biceps with the same exercise, the pull-up might be a better choice.
Study
Kenji Doma, a researcher from James Cook University in Australia, got 9 young men who had been training with weights for at least a year to do 10 reps during a pull-up.
On another occasion, the men did 10 reps on a pull-down.
The load was the same for both exercises.
In both exercises, the men pulled the bar up to the top of the chest. Doma had electrodes taped to the men's skin so that he could see how hard the muscles under the electrodes had to work.
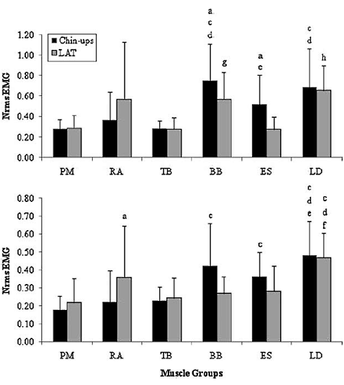
Results
Both exercises activate the upper back muscle or, as bodybuilders prefer to say, the lats. Both pull-downs and pull-ups are equally effective to develop this muscle.
Pull-ups also stimulate the biceps and lower back muscle erector spinae better than pull-downs. In turn, pull-downs stimulate the rectus abdominis washboard muscle better than pull-ups.

Conclusion
"Chin-ups produced a greater level of muscle activity for the biceps brachii and erector spinae than the lat-pull down exercise which may be due to chin-ups allowing greater degrees of freedom", the researchers write.
"Alternatively, the EMG responses of biceps and latissimi dorsi were greater than those of non-primary movers, suggesting that both chin-ups and lat-pull down exercises may be similarly effective in activating the primary movers."
Source:
Sports Biomech. 2013 Sep;12(3):302-13.
Strength athletes who want to develop their lat muscles in their upper back can benefit from the pull-up just as much as the pull-down. But if they also want to train their biceps with the same exercise, the pull-up might be a better choice.

Study
Kenji Doma, a researcher from James Cook University in Australia, got 9 young men who had been training with weights for at least a year to do 10 reps during a pull-up.
On another occasion, the men did 10 reps on a pull-down.
The load was the same for both exercises.
In both exercises, the men pulled the bar up to the top of the chest. Doma had electrodes taped to the men's skin so that he could see how hard the muscles under the electrodes had to work.
Results
Both exercises activate the upper back muscle or, as bodybuilders prefer to say, the lats. Both pull-downs and pull-ups are equally effective to develop this muscle.
Pull-ups also stimulate the biceps and lower back muscle erector spinae better than pull-downs. In turn, pull-downs stimulate the rectus abdominis washboard muscle better than pull-ups.


Conclusion
"Chin-ups produced a greater level of muscle activity for the biceps brachii and erector spinae than the lat-pull down exercise which may be due to chin-ups allowing greater degrees of freedom", the researchers write.
"Alternatively, the EMG responses of biceps and latissimi dorsi were greater than those of non-primary movers, suggesting that both chin-ups and lat-pull down exercises may be similarly effective in activating the primary movers."
Source:
Sports Biomech. 2013 Sep;12(3):302-13.